制冷壓縮機是制冷系統的“心臟”,吸收來自蒸發器的制冷劑蒸氣,提高壓力后排氣到冷凝器,使制冷劑在系統中循環流動。
按溫度范圍可以分為高溫,中溫,低溫制冷壓縮機。按密封結構形式分類為開啟式;半封閉式;全封閉式;開啟式。
制冷量是衡量壓縮機工作能力大小的一個重要指標?;旧纤袎嚎s機的實際制冷量都可用以下三種方法進行計算。
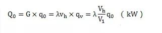
1、按理論輸氣量計算活塞式制冷壓縮機計算工況下的制冷量Q為:
式中: q0是制冷劑在計算工況下的單位質量制冷量(kJ/kg)。qv是制冷劑在計算工況下的單位容積制冷量(kJ/m3)。
q0及qv可根據循環的熱力計算得出。所以只要知道壓縮機的理論輸氣量Vh及輸氣系數λ,就可以計算出壓縮機的制冷量。對于一臺制冷壓縮機,當使用某一種制冷劑時,其制冷量隨著工況的不同而變化。因為工況改變時,壓縮機的輸氣系數λ和制冷劑的單位容積制冷量qv都隨之而變。
2、按特性曲線確定每一種型號的壓縮機通常都由制造廠家通過試驗繪出其性能曲線,表示出在不同冷凝溫度tk下,制冷量Q0、軸功率Ne與蒸發溫度to之間的關系。因此在壓縮機型號確定以后,可以根據設計工況,在其性能曲線圖上査查得該工況下的制冷量。
3、按冷量換算公式計算由于同一臺壓縮機只要轉速不變,盡管工況不同,其理論輸氣量也是不變的。因此可得:

式中:Q λ q分別為空調工況(標準工況)與設計工況下的制冷量、輸氣系數、單位容積制冷量。這樣如果已知壓縮機標準工況或空調工況的制冷量,即可以按照上述公式換算出設計工況下的制冷量。
【上一個】: 螺桿冷水機組與離心冷水機組比較
【下一個】: 什么是匹、制冷量?這些制冷空調常用術語你知道嗎?